机器学习笔记——02.模型的评估与选择
经验误差与过拟合
- 错误率:分类错误的样本数占样本总数的比例。m个样本中a个样本分类错误,则错误率E = a/m;
- 精度:1-错误率;
- 误差:学习器的实际预测输出与真实输出之间的差异;
- 训练误差/经验误差:再训练集上的误差
- 泛化误差:在新样本中的误差
- 过拟合:在训练集中拟合的很好,导致把一些样本的特性作为了“普遍规律”
- 欠拟合:与过拟合相反,并没有抓住普遍规律
评估方法
留出法
在数据集中找出一部分作为训练集,另一部分作为测试集。两部分互斥。一般两部分是2:1或4:1;
交叉验证法
一个数据集平均分成m个互斥的子集,每次取一个子集作为测试集,剩下的作为训练集,然后进行m次训练,每次训练测试集选择不同的子集。最后的评估结果按m次的均值计算;
自助法
随机选m次,每次选一个样本放入集合D’,将D-D’作为训练集。
调参与最终模型
- 调参:每个模型或算法都伴随着一些参数,而这些参数往往可能是一个范围,所以我们在这一个范围中根据一定的规律选择会更加方便快捷一点。
性能度量
对学习器的泛化能力进行评估,不仅需要有效可行的实验估计方法,还需要有衡量模型泛化能力的评价标准,这就是性能度量。
错误率与精度
- 错误率:是分类错误的样本数占样本总数的比例
- 精度:分类正确的样本数占样本总数的比例
查准率、查全率与F1
错误率和精度常用,但在某些任务中不能很好的满足需求,以搜索引擎调查为例:我们需要的用户体验结果数据是“在所有搜索推荐中有多少是用户需要的”或者“用户需要的有多少在搜索结果中”。为完成这样的结果,我们给出两个新的概念,“查准率”和“查全率”。
在二分类问题,我们可以根据其真实类别与学习器预测类别的组合划分为“真正例”“假反例”“假正例”“真反例”

- 查准率(P):P = TP/(TP+FP)
- 查全率(R):R = TP/(TP+FN)
查准率和查全率是两个相互矛盾的存在,查准率升高,查全率往往会下降;反之则相反。为了获得两项都不错的学习器模型,我们对预测结果的样例进行排序,排在前面的是学习器认为“最有可能”是正例的样本,后面的是“最不可能”是正例的样本。然后按此顺序逐个把样本作为正例进行预测,则每次可以计算出当前的查全率、查准率。以查准率为纵轴,以查全率为横轴得到了”P-R曲线”。
如何根据P-R曲线,判断学习器的好坏呢?
1.如果一个学习器的曲线能完全包住另一个学习器的曲线,则第一个比第二个好。
2.如果有交叉则可按面积大小。
3.当然也可看“平衡点”(BEP),也就是P==R时的值。
4.前三种太简化,我们会用F1度量(基于P和R的调和平均)。F1 = (2PR)/(P+R)=(2*TP)/(样例总数+TP-TN)
5.Fβ,正注重对P与R的偏好问题。Fβ = [(1+β²)×P×R]/[(β²×P)+R];β=1退化为了标准的F1,β>1查全率重要,β<1查准率重要。
6.宏查全率,宏查准率,宏F1。

ROC与AUC
ROC全称:“受试者工作特征”。纵轴是“真正例率”(TPR),横轴是“假正例率”(FPR)。
TPR=TP/(TP+FN)
FPR=FP/(TN+FP)
如何根据ROC曲线,判断学习器的好坏呢?
根据面积

AUC就是ROC各部分下面的面积
AUC考虑的是学习器对样本预测的排序质量,误差与其有密切的联系。
代价敏感错误率与代价曲线
在很多情况下,每次犯错所造成的结果是不一样的,也就导致犯错的代价也不同,例如:在医疗诊断中“把健康的人诊断成病人”和“把病人诊断成好人”前者是多做一次检查,后者则有生命危险。所以不同的错误应承担的风险不同,为了解决不同风险的问题,我们提出了“非均等代价”。
以二分类任务为例,我们可以得到如下表格:

其中cost i,j表示将第i类样本认做j类的代价。
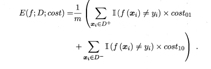
我们希望测得的代价是最小化的“总体代价”,那我们就不能只依靠“错误次数”还需要错误代价。也就有了“代价敏感”错误率:

在“非均等代价”的情况下,ROC曲线并不能很好的反应学习机的期望总体代价,所以我们选择了“代价曲线”:横轴是正例概率代价:P(+)cost = p×cost01/[p×cost01+(1 - p)×cost10],其中p是正例的概率;纵坐标是归一化代价costnorm = [FNR × p × cost01 + FPR × (1 - p) × cost10]/[p × cost01 + (1 - p)×cost10]
也可以写成:costnorm = FNR × P(+)cost + FPR × (1 - P(+)cost);
更深入理解:一条过A,B两点的直线方程可以写作y = µ × A + (1 - µ) × B,根据A,B的不同我们可以画出不同的直线,也就是说对于不同的FPR和FNR值我们能画出多条直线,这FPR和FNR值我们可以根据ROC曲线上的点来获取。
而我们要的“期望总体代价”就是这些直线的下面的部分。
如图:

比较检验
偏差与方差
- 本文作者: Doted Wood
- 本文链接: http://example.com/2021/10/19/ML/机器学习——02/
- 版权声明: 版权归博主所有,转载请说明来源
李越
刘文豪
郑灵欣